5.1概要
九頭竜川流域は、歴史・文化や水と緑などの自然に恵まれた観光地が多く点在し、年間約1,850万人(福井県全体の約68%)の観光客が訪れる。その代表的な観光資源には、天下の絶景として有名な東尋坊、全国的にも名高い芦原温泉をはじめとする各地の温泉、中世を今に伝える朝倉氏遺跡・永平寺・平泉寺・丸岡城、素朴な越前の姿を人形に託した越前竹人形の里、恵まれた森と水を生かしたアウトドアレクリェーションが満喫できる九頭竜湖と九頭竜国民休養地や六呂師高原などといったキャンプ村・スキー場、北陸の秋の風物詩として人気の高い武生菊人形、広大な芝生の中にパットゴルフ場やオートキャンプ場などがあり1年中楽しめるレジャーランドの芝政ワールドなどがある。
一方、県民の憩いの場としては、越前松平家の別邸であった養浩館庭園(福井市)・越前の里味真野苑(武生市)・プラントピア(朝日町立福井総合植物園)・福井県総合グリーンセンター(丸岡町)・坂井西部公園(坂井町)・和紙の里公園と花筐公園(今立町)・花はす公園(南条町)、桜の名所としては足羽山公園(福井市)・松岡公園(松岡町)・芦山公園(武生市)・九頭竜川沿川の弁天桜並木(勝山市)・足羽川堤防の桜並木(福井市)・善福寺しだれ桜(清水町)・亀山公園(大野市)、つつじの名所である西山公園(鯖江市)などがある。九頭竜川のアユ釣りも有名である。
また、九頭竜川流域には、多くの伝統工芸や食文化などが伝えられているが、越前和紙の紙すきを体験できる「和紙の里会館」(今立町)、木製品づくりに挑戦できる「木の里工房」(池田町)、越前焼きが自分で体験できる「越前陶芸村」(宮崎村)、そば打ちを体験できる「ごっつおさん亭」(美山町)と「ふるさと道場」(池田町)および「今庄そば道場」(今庄町)などの公共施設がある。
一方、県民の憩いの場としては、越前松平家の別邸であった養浩館庭園(福井市)・越前の里味真野苑(武生市)・プラントピア(朝日町立福井総合植物園)・福井県総合グリーンセンター(丸岡町)・坂井西部公園(坂井町)・和紙の里公園と花筐公園(今立町)・花はす公園(南条町)、桜の名所としては足羽山公園(福井市)・松岡公園(松岡町)・芦山公園(武生市)・九頭竜川沿川の弁天桜並木(勝山市)・足羽川堤防の桜並木(福井市)・善福寺しだれ桜(清水町)・亀山公園(大野市)、つつじの名所である西山公園(鯖江市)などがある。九頭竜川のアユ釣りも有名である。
また、九頭竜川流域には、多くの伝統工芸や食文化などが伝えられているが、越前和紙の紙すきを体験できる「和紙の里会館」(今立町)、木製品づくりに挑戦できる「木の里工房」(池田町)、越前焼きが自分で体験できる「越前陶芸村」(宮崎村)、そば打ちを体験できる「ごっつおさん亭」(美山町)と「ふるさと道場」(池田町)および「今庄そば道場」(今庄町)などの公共施設がある。
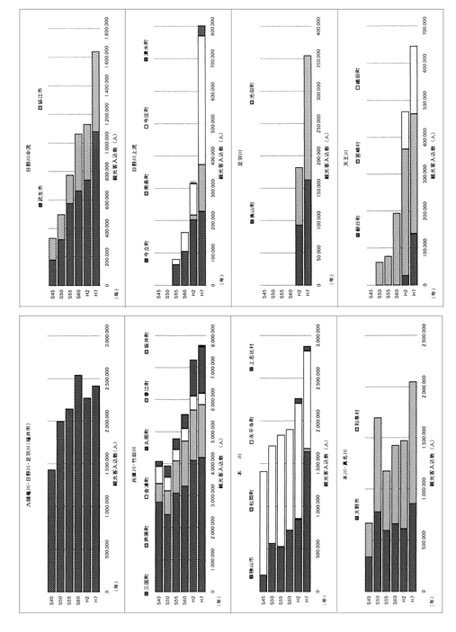
福井市では、平成7年(1995)に「一乗谷朝倉遺跡」が中世の武家屋敷、町並みの立体復原が完成したこともあって、観光客の入込みが増加した。福井市近郊にある「永平寺」は減少したが、「丸岡城」への観光客は増加した。
九頭竜川河口に位置する三国・芦原町には、東尋坊や芦原温泉といった福井県を代表する観光地があり、安定した観光客の入込み状況となっている。
武生・鯖江両市では、「みどりと自然の村」(武生市)、「西山公園」(鯖江市)といったレクリェーションの場や「つつじまつり」(鯖江市)、「武生菊人形」(武生市)への観光が漸増している
日野川上流域の南条町では「花はす温泉」や「南条花はす公園」が人気であり、今庄町では「今庄365スキー場および温泉」が多くの観光入込み客がある。
奥越地域では、「九頭竜湖」(和泉村)、「スキージャム勝山」(勝山市)で入込み客が増加した。大野市は、安定した観光客の入込み状況である。
九頭竜川河口に位置する三国・芦原町には、東尋坊や芦原温泉といった福井県を代表する観光地があり、安定した観光客の入込み状況となっている。
武生・鯖江両市では、「みどりと自然の村」(武生市)、「西山公園」(鯖江市)といったレクリェーションの場や「つつじまつり」(鯖江市)、「武生菊人形」(武生市)への観光が漸増している
日野川上流域の南条町では「花はす温泉」や「南条花はす公園」が人気であり、今庄町では「今庄365スキー場および温泉」が多くの観光入込み客がある。
奥越地域では、「九頭竜湖」(和泉村)、「スキージャム勝山」(勝山市)で入込み客が増加した。大野市は、安定した観光客の入込み状況である。
表1.3.14 流域市町村別の観光客の推移(※福井県観光客数動態推計表より)
横にスクロールできます
(単位:人)
・福井県観光物産課「福井県観光客数動態推計」
| 区分 | 昭和45年 | 昭和50年 | 昭和55年 | 昭和60年 | 平成2年 | 平成7年 | 主要観光地 (H7現在) |
|
| 九頭竜川・日野川・ 足羽川(福井市) |
1,428,350 | 1,995,000 | 2,143,000 | 2,538,200 | 2,270,900 | 2,411,300 | 朝倉氏遺跡、大安禅寺、越前海岸 | |
| 兵庫川・竹田川 | 4,078,701 | 3,935,200 | 4,785,900 | 5,549,800 | 7,246,100 | 7,703,400 | - | |
| 三国町 | 2,797,400 | 2,409,000 | 3,080,000 | 3,294,800 | 4,096,600 | 4,186,300 | 東尋坊、芝政、滝谷寺 | |
| 芦原町 | 585,401 | 745,800 | 1,014,600 | 1,416,000 | 1,586,500 | 1,662,700 | 芦原温泉 | |
| 金津町 | 529,600 | 422,000 | 348,300 | 390,000 | 436,000 | 351,100 | 吉崎御坊、刈安山森林自然公園 | |
| 丸岡町 | 166,300 | 358,400 | 343,000 | 449,000 | 1,127,000 | 1,455,600 | 丸岡城、越前竹人形の里 | |
| 春江町 | - | - | - | - | - | 23,000 | はるえまつり | |
| 坂井町 | - | - | - | - | - | 24,700 | 坂井西部公園 | |
| 本川 | 1,406,450 | 1,708,100 | 1,834,000 | 1,900,100 | 2,264,300 | 2,875,300 | - | |
| 勝山市 | 195,590 | 567,800 | 531,000 | 719,500 | 841,200 | 1,639,500 | 平泉寺、越前大仏、スキージャム勝山 | |
| 松岡町 | - | - | - | - | 14,300 | 36,100 | 九頭竜川 | |
| 永平寺町 | 1,210,860 | 1,140,300 | 1,303,000 | 1,180,600 | 1,350,300 | 1,144,300 | 大本山永平寺 | |
| 上志比村 | - | - | - | - | 58,500 | 55,400 | 小舟渡かまぶろ温泉 | |
| 本川・真名川 | 670,800 | 1,698,100 | 1,176,900 | 1,427,100 | 1,473,000 | 2,049,900 | - | |
| 大野市 | 337,800 | 777,100 | 595,900 | 661,200 | 612,600 | 857,200 | 六呂師高原、大野城、麻那姫湖 | |
| 和泉村 | 333,000 | 921,000 | 581,000 | 765,900 | 860,400 | 1,192,700 | 九頭竜湖、九頭竜国民休養地 | |
| 日野川中流 | 332,600 | 498,000 | 775,000 | 1,064,100 | 1,133,300 | 1,639,800 | - | |
| 武生市 | 179,400 | 321,700 | 574,000 | 663,000 | 738,500 | 1,078,100 | たけふ菊人形、紫式部公園 | |
| 鯖江市 | 153,200 | 176,300 | 201,000 | 401,100 | 394,800 | 561,700 | 漆器の里、西山公園 | |
| 日野川上流 | - | - | 81,200 | 163,900 | 315,300 | 802,000 | - | |
| 今立町 | - | - | 63,900 | 105,600 | 202,100 | 228,700 | 和紙の里、小次郎公園 | |
| 南条町 | - | - | - | - | 15,700 | 145,000 | 山荘、花はす公園 | |
| 今庄町 | - | - | 17,300 | 58,300 | 96,500 | 397,200 | そば道場、365スキー場 | |
| 清水町 | - | - | - | - | 1,000 | 31,100 | 滝波ダム、SSTランド | |
| 足羽川 | - | - | - | - | 182,500 | 355,100 | - | |
| 美山町 | - | - | - | - | 92,700 | 162,800 | みらくる亭、ごっつおさん亭 | |
| 池田町 | - | - | - | - | 89,800 | 192,300 | 志津原カントリービレッジ | |
| 天王川 | - | 62,000 | 78,000 | 194,700 | 469,900 | 646,000 | - | |
| 朝日町 | - | - | - | - | 25,500 | 139,000 | 古墳公園、プラントピア | |
| 宮崎村 | - | 62,000 | 78,000 | 194,700 | 342,900 | 325,000 | 越前陶芸村、越前今刀羅山宮 | |
| 織田町 | - | - | - | - | 101,500 | 182,000 | 剱神社 | |
| 流域合計 | 7,916,901 | 9,896,400 | 10,874,000 | 12,837,900 | 15,355,300 | 18,482,800 | - | |
| 福井県 | 14,905,293 | 18,481,100 | 19,485,000 | 22,146,100 | 25,132,300 | 27,028,800 | - | |